热导率(thermal conductivity)是描述材料传热能力的物理量,表示单位温度梯度下单位时间内通过单位面积传递的热量,常用符号κ表示,单位为W·m⁻¹·K⁻¹。它反映了材料在稳态或非稳态热流条件下传导热能的效率。
在理论计算中,热导率可通过两大类方法获得:其一是基于声子或电子输运理论的第一性原理方法,如使用密度泛函理论(DFT)结合玻尔兹曼输运方程(BTE),计算声子或电子的能谱、散射率和输运系数;其二是基于原子尺度的分子动力学(MD)模拟,包括非平衡MD(如施加温度梯度)和平衡MD中的Green-Kubo方法,通过统计热流自相关函数计算κ。
热导率的定义
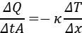
热导率(Thermal Conductivity)是材料科学和热力学中的核心物理量,用于描述物质传导热量的能力。其定义为在单位温度梯度下,单位时间内通过单位面积的热量通量,国际单位为瓦特每米开尔文(W·m⁻¹·K⁻¹)。这一概念由傅里叶定律(Fourier's Law)严格表述:

其中左侧表示单位面积上的热流速率(热通量),右侧的负号表示热量从高温流向低温区域,即为热导率。
不同物质的热导率差异显著:气体(如空气,κ≈0.02 W·m⁻¹·K⁻¹)因分子间距大、传热效率低而数值最小;液体(如水,κ≈0.6 W·m⁻¹·K⁻¹)次之;固体中金属(如银,κ≈429 W·m⁻¹·K⁻¹)因自由电子主导传热而数值最高,而绝缘体(如聚合物,κ≈0.01–2 W·m⁻¹·K⁻¹)则因依赖声子输运且散射严重而导热性较差。
热导率的微观机制与理论计算框架
热导率的理论计算需从微观载热粒子(声子与电子)的输运行为入手,其核心方程为:
其中kp为声子(晶格振动量子)贡献,ke为电子贡献。
声子热导率(kp)的计算方法
声子输运遵循玻尔兹曼输运方程(BTE) ,其核心是求解声子分布函数在温度梯度下的非平衡态。计算流程通常分为四步:


第一性原理力常数计算通过密度泛函理论(DFT)求解原子间力常数(Force Constants),例如使用VASP或Quantum ESPRESSO软件优化晶体结构并提取二阶(谐性)和三阶(非谐性)力常数。
DOI: 10.30919/esee8c149
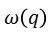
声子色散与群速度计算基于力常数构建动力学矩阵,求解声子色散关系
(q为声子波矢),进而通过
计算群速度。如TiN的典型声子色散曲线,其高频光学支的平坦化表明强非谐性,预示低热导率。

DOI:10.1016/j.mtphys.2020.100256
声子弛豫时间求解:考虑多种散射机制。
三声子散射:包括动量守恒的正常过程(N-processes)和动量反转的倒逆过程(U-processes),其散射率由非谐性力常数决定。
边界/缺陷散射:纳米材料中晶界散射显著,需通过声子透射概率模型(如漫散射模型)量化。
声子-电子散射:在金属或掺杂半导体中,载流子与声子碰撞会降低,计算需结合电子能带结构。

BTE数值求解:最终热导率由积分给出
其中为声子模式,为模式比热。蒙特卡洛法或迭代求解BTE可处理高阶散射效应(如Callaway模型在低温下的修正)。
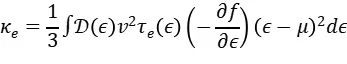
电子热导率的计算方法
金属及掺杂半导体中,电子是主要热载体。其计算依赖电子弛豫时间近似(RTA)与维德曼-弗兰兹定律(Wiedemann-Franz Law):

玻尔兹曼方程求解
其中为电子态密度,为电子弛豫时间,f为费米分布函数。电子-声子耦合矩阵需通过Wannier插值技术精确计算(如EPW软件包)。
维德曼-弗兰兹定律简化对金属可近似为:
其中为电导率,L为洛伦兹数(金属取)。
不同材料体系的热导率计算差异
金属材料
在高热导金属如铝(Al)和铜(Cu)中,热导率主要由自由电子传输贡献,电子热导率(κₑ)在常温下通常占总热导率的95%以上,因此在热导计算中需优先考虑电子相关机制。
其中,电子-声子耦合是影响κₑ的关键因素,尤其在高温条件下,电子散射增强,导致κₑ随温度呈反比关系变化,即κₑ ∝ T⁻¹,这一趋势已被多项研究证实。然而,声子的贡献亦不可完全忽视,例如在300 K下,铝的晶格热导率κₚ约为6 W·m⁻¹·K⁻¹,虽相较于κₑ较小,但对于精确建模热输运过程仍具重要意义,需通过非谐性晶格动力学方法进行计算。
此外,为表达热导率随温度变化的复杂趋势,Abu-Eishah提出了经验公式k,通过多元回归可在多种金属中实现高精度拟合(误差通常低于5%,除Fe之外),为热导率的工程预测提供了实用工具。

DOI: 10.1103/PhysRevB.102.174306
半导体材料
在硅(Si)、砷化镓(GaAs)等半导体材料中,声子-电子相互作用对晶格热导率(κₚ)具有显著影响,成为调控热输运性能的关键因素。
首先,载流子类型对声子散射强度具有直接影响。p型半导体由于空穴的态密度较高,增强了与声子的耦合作用,从而加剧声子散射,导致热导率降低。例如,有文献表明p型硅(p-Si)的κₚ相比n型硅(n-Si)低约20%。其次,材料的带隙类型也决定了电子-声子相互作用的强弱。
间接带隙材料如Si在载流子跃迁过程中需伴随声子参与,因此电子-声子耦合强于直接带隙材料如GaAs,从而进一步抑制κₚ。最后,近年来通过纳米结构设计对热导率的调控已取得显著进展。
多尺度模拟表明,构建如超晶格结构可引入界面散射,有效阻碍声子传输,显著降低κₚ,同时在不显著影响电导的前提下提升热电优值ZT。因此,理解并利用声子-电子耦合效应,是实现高性能热电材料设计的核心策略之一。
绝缘体与聚合物
在多种固体材料中,声子作为热量的主要载体主导着热传输过程,但其散射机制复杂多样,尤其在非晶态和复合材料中更为显著。对于非晶材料而言,由于结构无序,声子缺乏长程传播能力,平均自由程通常仅为1–10 nm,远低于晶体材料。
在这种情况下,传统的波动模型难以准确描述热输运行为,因此需要借助分子动力学(MD)模拟方法,通过如Green-Kubo公式计算热流自相关函数,从而在非平衡态下预测材料的有效热导率。
另一方面,在聚合物复合材料中,如纤维素气凝胶中掺杂导电聚合物PEDOT:PSS,其复杂的多孔结构和多相界面进一步增加了声子散射的不确定性。
针对这种结构,研究者常采用蒙特卡洛模拟评估孔隙率、形状和分布对热导率的影响,从而优化热管理性能。因此,在这些非理想结构中,深入理解和建模声子的多重散射路径,是准确预测并调控热输运性能的关键所在。

DOI: 10.1080/14686996.2020.1820306

计算工具与参数设置
主流软件与算法

收敛性与误差控制
在热导率的理论计算中,多个关键因素显著影响结果的准确性,必须加以严格控制与校正。首先,k/q空间采样对金属体系尤为敏感,由于电子热导率(κₑ)高度依赖于费米面附近的电子态分布,因此需采用高密度k点网格(通常大于100/Å⁻¹)以充分捕捉能带结构,否则可能导致κₑ误差超过10%。
在非平衡分子动力学(NEMD)模拟中,热导率随模拟盒尺寸L增加而上升,呈现明显的有限尺寸效应,需通过多组尺寸数据进行外推,估算趋近于L→∞时的真实热导率。
热导率的温度依赖性受声子-声子散射机制控制,其散射率τ⁻¹在高温区通常与T成正比,而在低温下则近似为T³,因此常采用分段函数拟合不同温度区间的热导行为。以上因素共同决定了热导率模拟的准确性与物理可信度,需在计算中加以系统考虑。
总结
热导率的理论计算已从经验关联式迈向量子精度的第一性原理框架,其多尺度、多粒子耦合的特性要求物理模型与计算科学的深度融合。未来随着算法优化与算力提升,材料热设计将从“试错式”转向“预测式”,为能源器件(热电、电池热管理)和微纳电子散热提供底层支撑。
Powered by 重庆时时开彩官方网站下载 @2013-2022 RSS地图 HTML地图